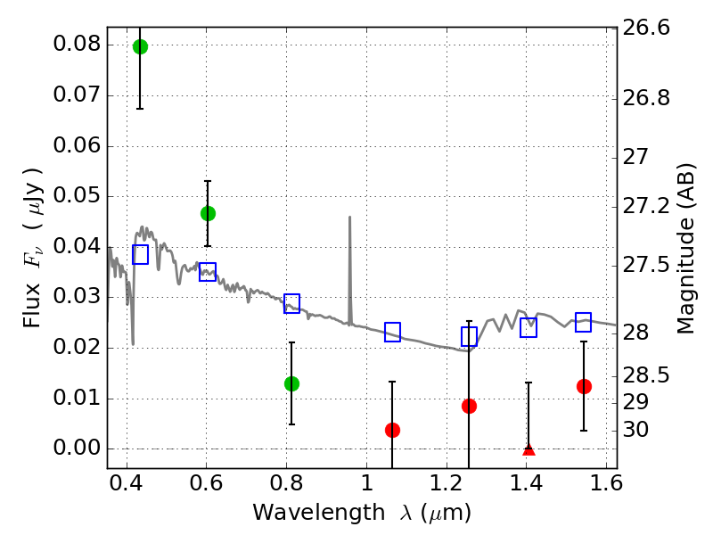
SMACS0723-73 ACS+IR detection object #3540

Color images and BPZ results
Catalog: 3540.cat
Black segments are analyzed here.   Roll mouse over color images to view segments.
Best viewed in a wide browser window (1200 pixels or more).   Download SED & P(z) plots to view larger versions.
In P(z) plots: Yellow lines mark the cluster redshift z = 0.390,  

Object #3540   x,y = (1835, 2672)   RA, Dec = (07:23:29.352, -73:27:04.68) = (110.87230, -73.45130)   BPZ = 2.432 [0.035--2.811]   type = 11.00 (SB11_A_0_l)   stellarity = 0.07   chisq2 = 6.64   ODDS = 0.29   z_cluster = 0.390