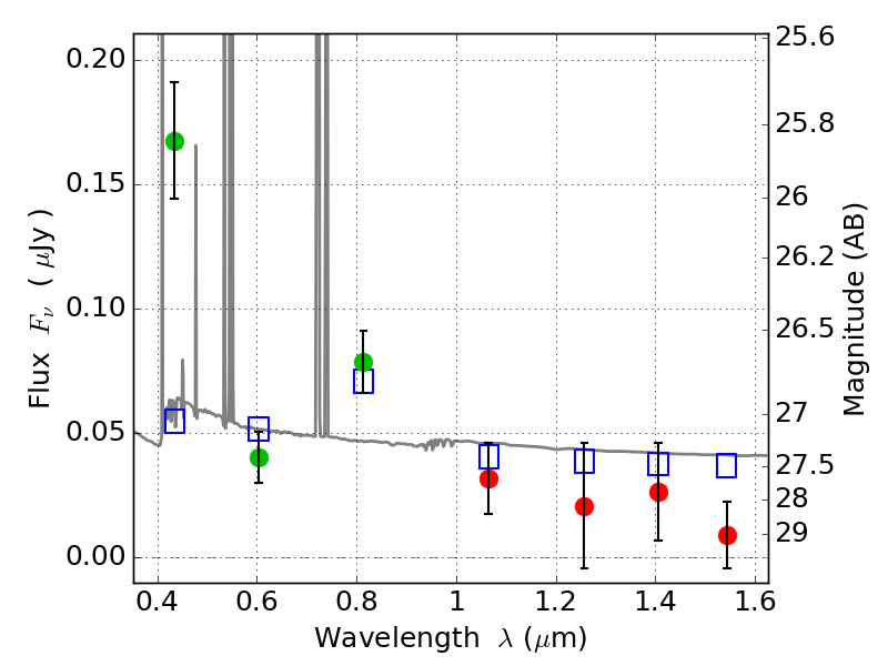
SMACS0723-73 ACS+IR detection object #1252

Color images and BPZ results
Catalog: 1252.cat
Black segments are analyzed here.   Roll mouse over color images to view segments.
Best viewed in a wide browser window (1200 pixels or more).   Download SED & P(z) plots to view larger versions.
In P(z) plots: Yellow lines mark the cluster redshift z = 0.390,  

Object #1252   x,y = (2852, 3828)   RA, Dec = (07:23:15.096, -73:25:55.56) = (110.81290, -73.43210)   BPZ = 0.104 [0.078--2.504]   type = 11.00 (SB11_A_0_l)   stellarity = 0.00   chisq2 = 7.26   ODDS = 0.41   z_cluster = 0.390