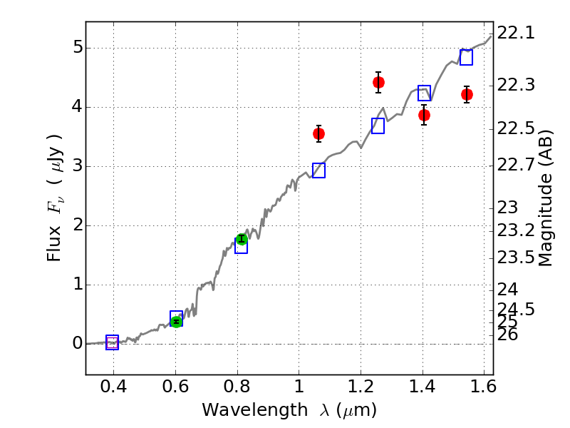
RXS0603+42-S IR detection object #976

Color images and BPZ results
Catalog: 976.cat
Black segments are analyzed here.   Roll mouse over color images to view segments.
Best viewed in a wide browser window (1200 pixels or more).   Download SED & P(z) plots to view larger versions.
In P(z) plots: Yellow lines mark the cluster redshift z = 0.228,  

Object #976   x,y = (3601, 1302)   RA, Dec = (06:03:20.472, 42:08:44.52) = (90.83530, 42.14570)   BPZ = 0.685 [0.638--0.724]   type = 4.00 (Ell4_A_0)   stellarity = 0.98   chisq2 = 3.87   ODDS = 0.99   z_cluster = 0.228