RXS0603+42-S IR detection object #940

Color images and BPZ results
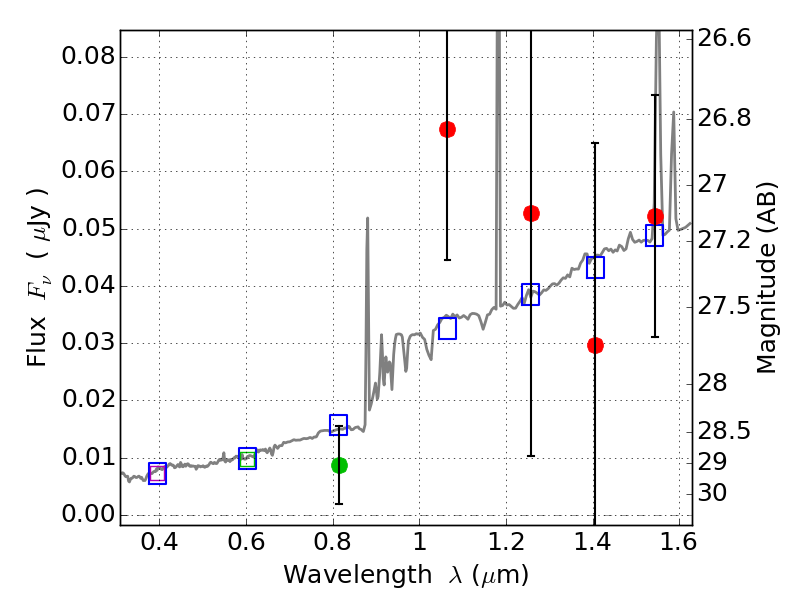
Catalog: 940.cat
Black segments are analyzed here.   Roll mouse over color images to view segments.
Best viewed in a wide browser window (1200 pixels or more).   Download SED & P(z) plots to view larger versions.
In P(z) plots: Yellow lines mark the cluster redshift z = 0.228,  

Object #940   x,y = (1672, 1338)   RA, Dec = (06:03:30.888, 42:08:46.68) = (90.87870, 42.14630)   BPZ = 1.359 [0.505--7.084]   type = 7.90 (SB1_B10 - Scd_B10)   stellarity = 0.00   chisq2 = 1.71   ODDS = 0.11   z_cluster = 0.228