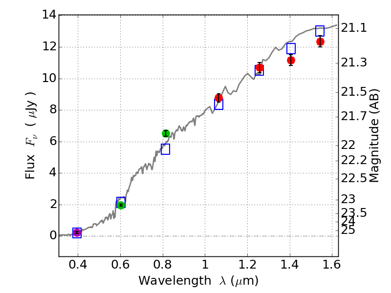
RXS0603+42-S IR detection object #862

Color images and BPZ results
Catalog: 862.cat
Black segments are analyzed here.   Roll mouse over color images to view segments.
Best viewed in a wide browser window (1200 pixels or more).   Download SED & P(z) plots to view larger versions.
In P(z) plots: Yellow lines mark the cluster redshift z = 0.228,  

Object #862   x,y = (3271, 1524)   RA, Dec = (06:03:22.248, 42:08:57.84) = (90.84270, 42.14940)   BPZ = 0.454 [0.403--4.529]   type = 4.00 (Ell4_A_0)   stellarity = 0.97   chisq2 = 0.65   ODDS = 0.71   z_cluster = 0.228