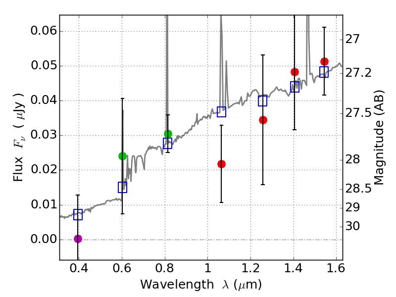
RXS0603+42-S IR detection object #828

Color images and BPZ results
Catalog: 828.cat
Black segments are analyzed here.   Roll mouse over color images to view segments.
Best viewed in a wide browser window (1200 pixels or more).   Download SED & P(z) plots to view larger versions.
In P(z) plots: Yellow lines mark the cluster redshift z = 0.228,  

Object #828   x,y = (1674, 1599)   RA, Dec = (06:03:30.864, 42:09:02.16) = (90.87860, 42.15060)   BPZ = 0.617 [0.222--4.647]   type = 7.90 (SB1_B10 - Scd_B10)   stellarity = 0.00   chisq2 = 0.68   ODDS = 0.06   z_cluster = 0.228