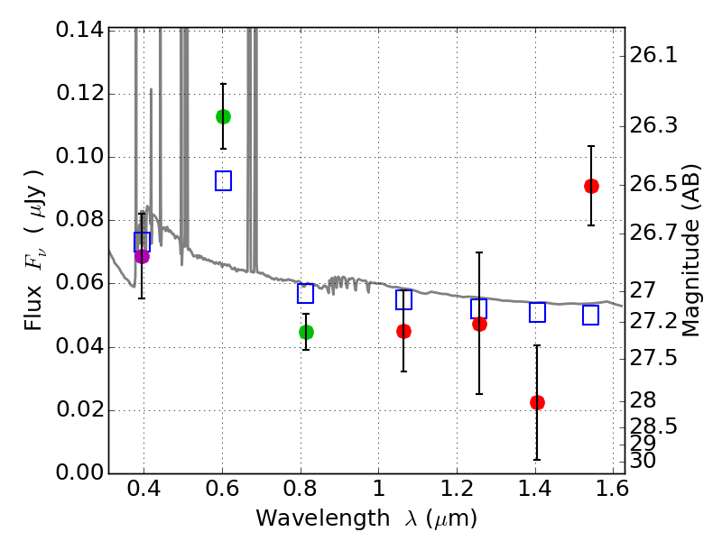
RXS0603+42-S IR detection object #670

Color images and BPZ results
Catalog: 670.cat
Black segments are analyzed here.   Roll mouse over color images to view segments.
Best viewed in a wide browser window (1200 pixels or more).   Download SED & P(z) plots to view larger versions.
In P(z) plots: Yellow lines mark the cluster redshift z = 0.228,  

Object #670   x,y = (2258, 2205)   RA, Dec = (06:03:27.720, 42:09:38.52) = (90.86550, 42.16070)   BPZ = 0.025 [0.016--2.828]   type = 11.00 (SB11_A_0_l)   stellarity = 0.81   chisq2 = 4.10   ODDS = 0.15   z_cluster = 0.228