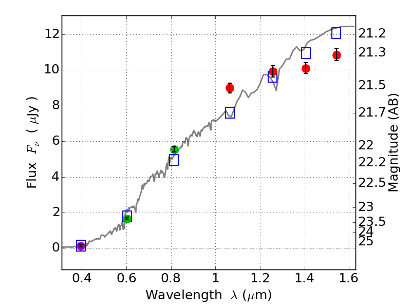
RXS0603+42-S IR detection object #417

Color images and BPZ results
Catalog: 417.cat
Black segments are analyzed here.   Roll mouse over color images to view segments.
Best viewed in a wide browser window (1200 pixels or more).   Download SED & P(z) plots to view larger versions.
In P(z) plots: Yellow lines mark the cluster redshift z = 0.228,  

Object #417   x,y = (3464, 2035)   RA, Dec = (06:03:21.216, 42:09:28.44) = (90.83840, 42.15790)   BPZ = 0.492 [0.438--4.555]   type = 4.00 (Ell4_A_0)   stellarity = 0.98   chisq2 = 1.57   ODDS = 0.87   z_cluster = 0.228