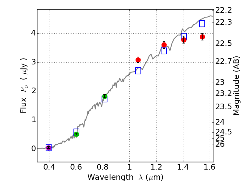
RXS0603+42-S IR detection object #325

Color images and BPZ results
Catalog: 325.cat
Black segments are analyzed here.   Roll mouse over color images to view segments.
Best viewed in a wide browser window (1200 pixels or more).   Download SED & P(z) plots to view larger versions.
In P(z) plots: Yellow lines mark the cluster redshift z = 0.228,  

Object #325   x,y = (1719, 2778)   RA, Dec = (06:03:30.624, 42:10:13.08) = (90.87760, 42.17030)   BPZ = 0.529 [0.484--0.575]   type = 4.00 (Ell4_A_0)   stellarity = 0.98   chisq2 = 1.10   ODDS = 0.99   z_cluster = 0.228