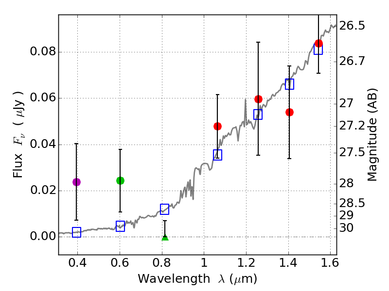
RXS0603+42-S IR detection object #285

Color images and BPZ results
Catalog: 285.cat
Black segments are analyzed here.   Roll mouse over color images to view segments.
Best viewed in a wide browser window (1200 pixels or more).   Download SED & P(z) plots to view larger versions.
In P(z) plots: Yellow lines mark the cluster redshift z = 0.228,  

Object #285   x,y = (2000, 2883)   RA, Dec = (06:03:29.112, 42:10:19.20) = (90.87130, 42.17200)   BPZ = 1.387 [0.988--7.714]   type = 6.00 (Sbc_B10)   stellarity = 0.06   chisq2 = 1.59   ODDS = 0.18   z_cluster = 0.228