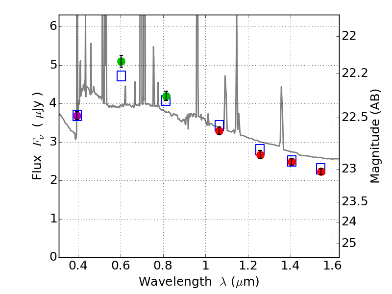
RXS0603+42-S IR detection object #143

Color images and BPZ results
Catalog: 143.cat
Black segments are analyzed here.   Roll mouse over color images to view segments.
Best viewed in a wide browser window (1200 pixels or more).   Download SED & P(z) plots to view larger versions.
In P(z) plots: Yellow lines mark the cluster redshift z = 0.228,  

Object #143   x,y = (3600, 3237)   RA, Dec = (06:03:20.472, 42:10:40.44) = (90.83530, 42.17790)   BPZ = 0.063 [0.038--0.079]   type = 10.50 (SB11_A_0_l - SB3_B10)   stellarity = 0.98   chisq2 = 0.42   ODDS = 1.00   z_cluster = 0.228