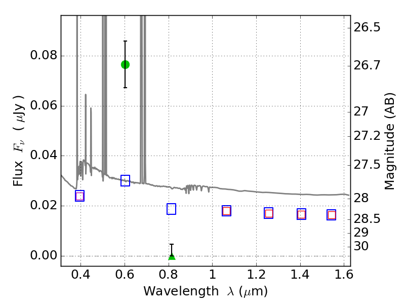
RXS0603+42-S IR detection object #822

Color images and BPZ results
Catalog: 822.cat
Black segments are analyzed here.   Roll mouse over color images to view segments.
Best viewed in a wide browser window (1200 pixels or more).   Download SED & P(z) plots to view larger versions.
In P(z) plots: Yellow lines mark the cluster redshift z = 0.228,  

Object #822   x,y = (3144, 3988)   RA, Dec = (06:03:22.944, 42:11:25.44) = (90.84560, 42.19040)   BPZ = 0.027 [0.025--3.184]   type = 11.00 (SB11_A_0_l)   stellarity = 0.66   chisq2 = 37.91   ODDS = 0.07   z_cluster = 0.228