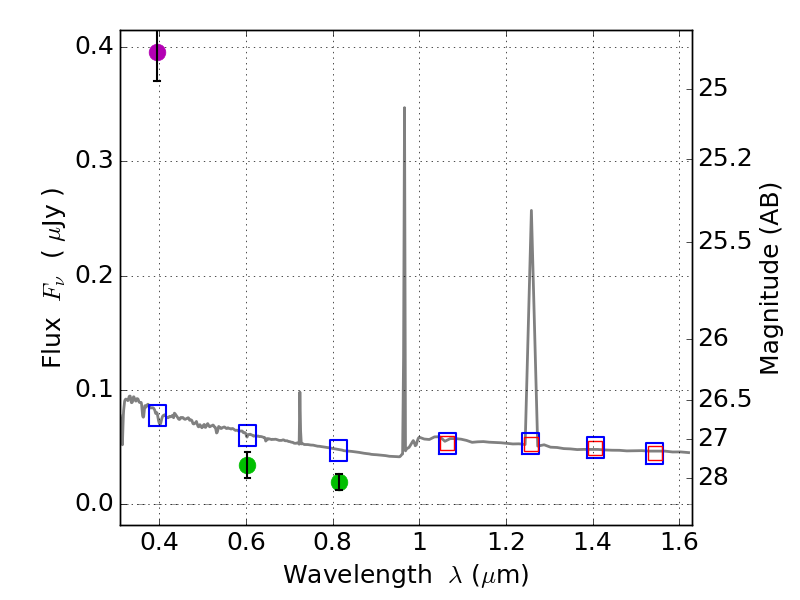
RXS0603+42-S IR detection object #809

Color images and BPZ results
Catalog: 809.cat
Black segments are analyzed here.   Roll mouse over color images to view segments.
Best viewed in a wide browser window (1200 pixels or more).   Download SED & P(z) plots to view larger versions.
In P(z) plots: Yellow lines mark the cluster redshift z = 0.228,  

Object #809   x,y = (2796, 3993)   RA, Dec = (06:03:24.816, 42:11:25.80) = (90.85340, 42.19050)   BPZ = 1.593 [1.311--1.996]   type = 11.00 (SB11_A_0_l)   stellarity = 0.64   chisq2 = 158.30   ODDS = 0.46   z_cluster = 0.228