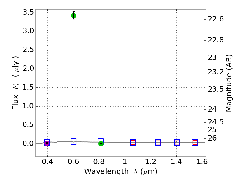
RXS0603+42-S IR detection object #682

Color images and BPZ results
Catalog: 682.cat
Black segments are analyzed here.   Roll mouse over color images to view segments.
Best viewed in a wide browser window (1200 pixels or more).   Download SED & P(z) plots to view larger versions.
In P(z) plots: Yellow lines mark the cluster redshift z = 0.228,  

Object #682   x,y = (1814, 4052)   RA, Dec = (06:03:30.120, 42:11:29.40) = (90.87550, 42.19150)   BPZ = 2.890 [0.032--3.388]   type = 11.00 (SB11_A_0_l)   stellarity = 0.99   chisq2 = 1122.00   ODDS = 0.38   z_cluster = 0.228