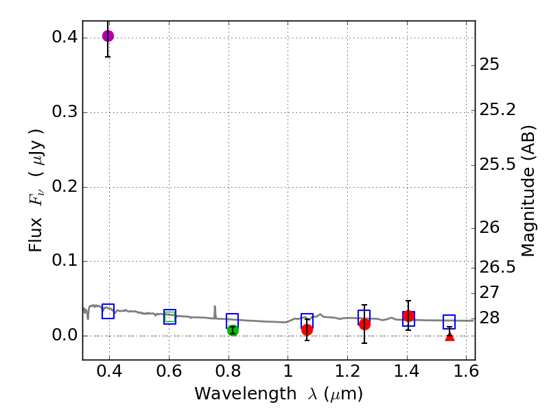
RXS0603+42-S IR detection object #6798

Color images and BPZ results
Catalog: 6798.cat
Black segments are analyzed here.   Roll mouse over color images to view segments.
Best viewed in a wide browser window (1200 pixels or more).   Download SED & P(z) plots to view larger versions.
In P(z) plots: Yellow lines mark the cluster redshift z = 0.228,  

Object #6798   x,y = (2492, 1229)   RA, Dec = (06:03:26.472, 42:08:40.20) = (90.86030, 42.14450)   BPZ = 1.696 [0.998--2.345]   type = 11.00 (SB11_A_0_l)   stellarity = 0.98   chisq2 = 56.69   ODDS = 0.41   z_cluster = 0.228