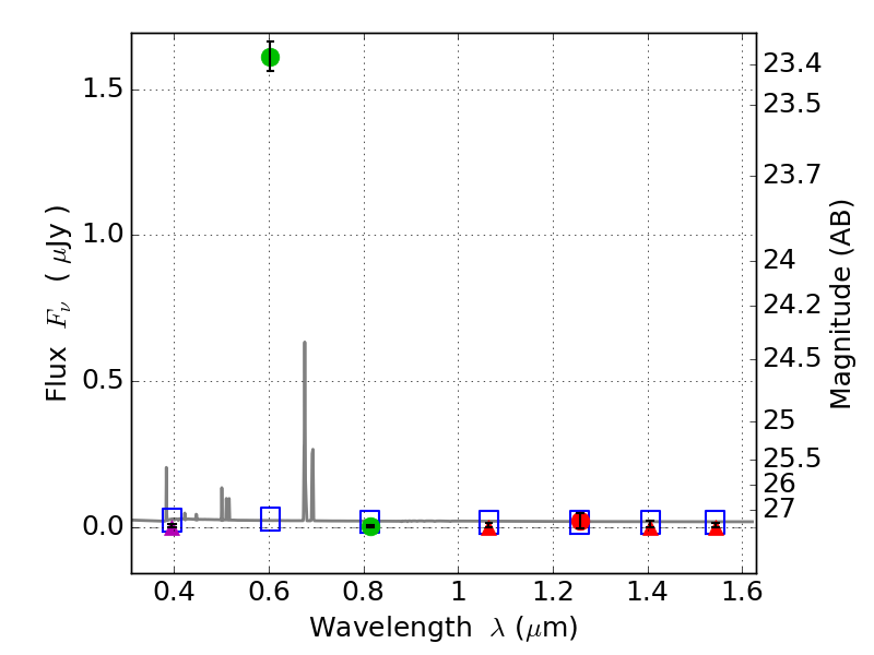
RXS0603+42-S IR detection object #6761

Color images and BPZ results
Catalog: 6761.cat
Black segments are analyzed here.   Roll mouse over color images to view segments.
Best viewed in a wide browser window (1200 pixels or more).   Download SED & P(z) plots to view larger versions.
In P(z) plots: Yellow lines mark the cluster redshift z = 0.228,  

Object #6761   x,y = (2769, 1248)   RA, Dec = (06:03:24.960, 42:08:41.28) = (90.85400, 42.14480)   BPZ = 0.033 [0.042--3.752]   type = 11.00 (SB11_A_0_l)   stellarity = 0.99   chisq2 = 246.90   ODDS = 0.04   z_cluster = 0.228