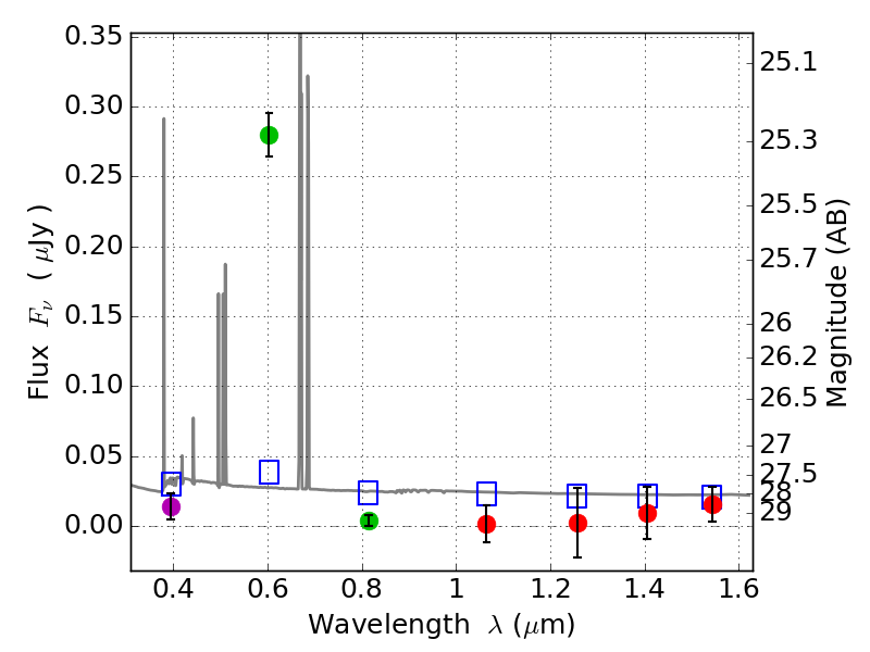
RXS0603+42-S IR detection object #6689

Color images and BPZ results
Catalog: 6689.cat
Black segments are analyzed here.   Roll mouse over color images to view segments.
Best viewed in a wide browser window (1200 pixels or more).   Download SED & P(z) plots to view larger versions.
In P(z) plots: Yellow lines mark the cluster redshift z = 0.228,  

Object #6689   x,y = (2597, 1271)   RA, Dec = (06:03:25.896, 42:08:42.72) = (90.85790, 42.14520)   BPZ = 0.023 [0.010--2.944]   type = 11.00 (SB11_A_0_l)   stellarity = 0.73   chisq2 = 64.38   ODDS = 0.77   z_cluster = 0.228