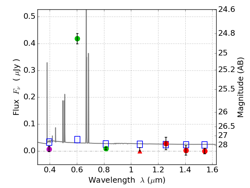
RXS0603+42-S IR detection object #6659

Color images and BPZ results
Catalog: 6659.cat
Black segments are analyzed here.   Roll mouse over color images to view segments.
Best viewed in a wide browser window (1200 pixels or more).   Download SED & P(z) plots to view larger versions.
In P(z) plots: Yellow lines mark the cluster redshift z = 0.228,  

Object #6659   x,y = (2530, 1288)   RA, Dec = (06:03:26.256, 42:08:43.80) = (90.85940, 42.14550)   BPZ = 0.023 [0.010--3.000]   type = 11.00 (SB11_A_0_l)   stellarity = 0.53   chisq2 = 99.83   ODDS = 0.90   z_cluster = 0.228