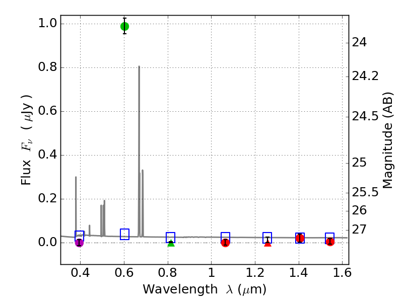
RXS0603+42-S IR detection object #6632

Color images and BPZ results
Catalog: 6632.cat
Black segments are analyzed here.   Roll mouse over color images to view segments.
Best viewed in a wide browser window (1200 pixels or more).   Download SED & P(z) plots to view larger versions.
In P(z) plots: Yellow lines mark the cluster redshift z = 0.228,  

Object #6632   x,y = (2520, 1306)   RA, Dec = (06:03:26.304, 42:08:44.52) = (90.85960, 42.14570)   BPZ = 0.025 [0.011--3.072]   type = 11.00 (SB11_A_0_l)   stellarity = 0.65   chisq2 = 189.30   ODDS = 0.72   z_cluster = 0.228