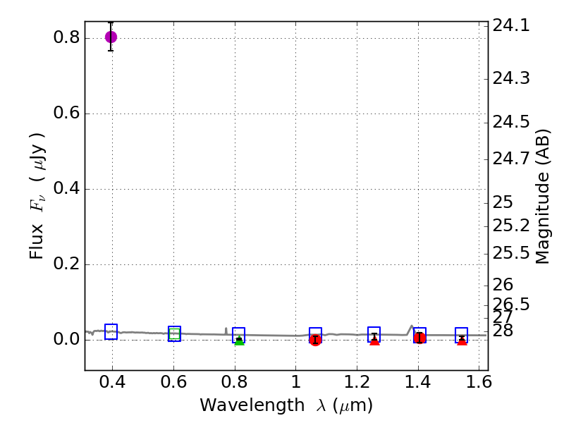
RXS0603+42-S IR detection object #6558

Color images and BPZ results
Catalog: 6558.cat
Black segments are analyzed here.   Roll mouse over color images to view segments.
Best viewed in a wide browser window (1200 pixels or more).   Download SED & P(z) plots to view larger versions.
In P(z) plots: Yellow lines mark the cluster redshift z = 0.228,  

Object #6558   x,y = (2153, 1341)   RA, Dec = (06:03:28.296, 42:08:46.68) = (90.86790, 42.14630)   BPZ = 1.763 [0.609--5.574]   type = 11.00 (SB11_A_0_l)   stellarity = 0.68   chisq2 = 149.90   ODDS = 0.25   z_cluster = 0.228