RXS0603+42-S IR detection object #6551

Color images and BPZ results
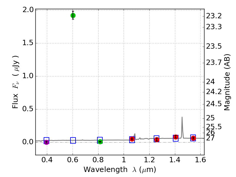
Catalog: 6551.cat
Black segments are analyzed here.   Roll mouse over color images to view segments.
Best viewed in a wide browser window (1200 pixels or more).   Download SED & P(z) plots to view larger versions.
In P(z) plots: Yellow lines mark the cluster redshift z = 0.228,  

Object #6551   x,y = (2394, 1340)   RA, Dec = (06:03:27.000, 42:08:46.68) = (90.86250, 42.14630)   BPZ = 1.914 [1.273--3.071]   type = 9.40 (SB2_B10 - SB3_B10)   stellarity = 0.93   chisq2 = 250.60   ODDS = 0.19   z_cluster = 0.228