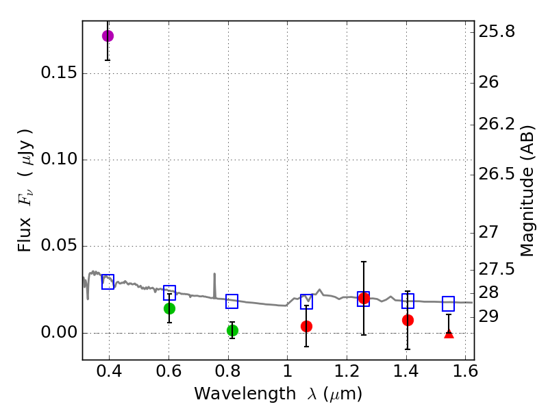
RXS0603+42-S IR detection object #6521

Color images and BPZ results
Catalog: 6521.cat
Black segments are analyzed here.   Roll mouse over color images to view segments.
Best viewed in a wide browser window (1200 pixels or more).   Download SED & P(z) plots to view larger versions.
In P(z) plots: Yellow lines mark the cluster redshift z = 0.228,  

Object #6521   x,y = (3357, 1357)   RA, Dec = (06:03:21.792, 42:08:47.76) = (90.84080, 42.14660)   BPZ = 1.698 [1.291--2.212]   type = 11.00 (SB11_A_0_l)   stellarity = 0.61   chisq2 = 28.31   ODDS = 0.49   z_cluster = 0.228