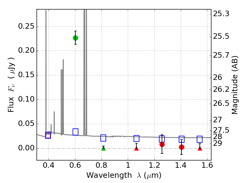
RXS0603+42-S IR detection object #6421

Color images and BPZ results
Catalog: 6421.cat
Black segments are analyzed here.   Roll mouse over color images to view segments.
Best viewed in a wide browser window (1200 pixels or more).   Download SED & P(z) plots to view larger versions.
In P(z) plots: Yellow lines mark the cluster redshift z = 0.228,  

Object #6421   x,y = (3704, 1410)   RA, Dec = (06:03:19.920, 42:08:51.00) = (90.83300, 42.14750)   BPZ = 0.023 [0.010--2.728]   type = 11.00 (SB11_A_0_l)   stellarity = 0.64   chisq2 = 75.76   ODDS = 0.88   z_cluster = 0.228