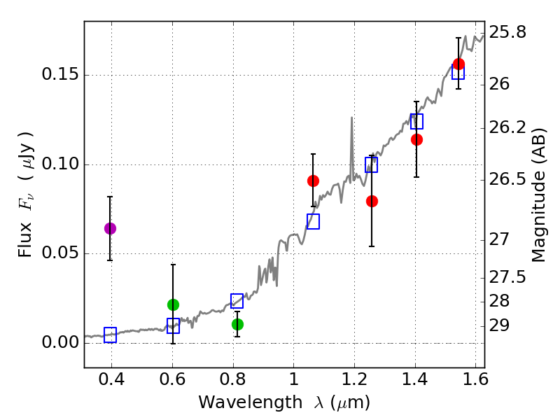
RXS0603+42-S IR detection object #6359

Color images and BPZ results
Catalog: 6359.cat
Black segments are analyzed here.   Roll mouse over color images to view segments.
Best viewed in a wide browser window (1200 pixels or more).   Download SED & P(z) plots to view larger versions.
In P(z) plots: Yellow lines mark the cluster redshift z = 0.228,  

Object #6359   x,y = (2123, 1444)   RA, Dec = (06:03:28.464, 42:08:52.80) = (90.86860, 42.14800)   BPZ = 1.383 [1.105--7.175]   type = 6.10 (Sbc_B10 - Scd_B10)   stellarity = 0.36   chisq2 = 3.10   ODDS = 0.32   z_cluster = 0.228