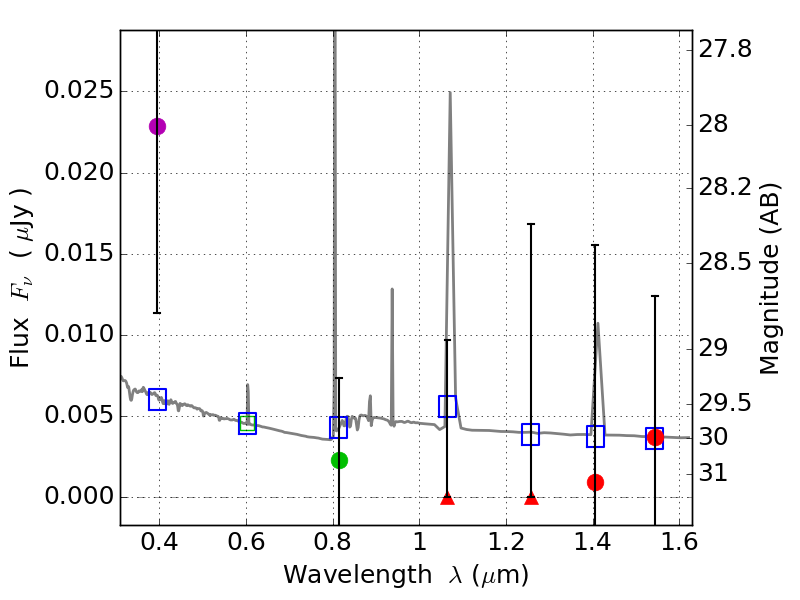
RXS0603+42-S IR detection object #6319

Color images and BPZ results
Catalog: 6319.cat
Black segments are analyzed here.   Roll mouse over color images to view segments.
Best viewed in a wide browser window (1200 pixels or more).   Download SED & P(z) plots to view larger versions.
In P(z) plots: Yellow lines mark the cluster redshift z = 0.228,  

Object #6319   x,y = (1953, 1470)   RA, Dec = (06:03:29.376, 42:08:54.60) = (90.87240, 42.14850)   BPZ = 1.163 [0.317--8.356]   type = 11.00 (SB11_A_0_l)   stellarity = 0.65   chisq2 = 0.91   ODDS = 0.05   z_cluster = 0.228