RXS0603+42-S IR detection object #6308

Color images and BPZ results
Catalog: 6308.cat
Black segments are analyzed here.   Roll mouse over color images to view segments.
Best viewed in a wide browser window (1200 pixels or more).   Download SED & P(z) plots to view larger versions.
In P(z) plots: Yellow lines mark the cluster redshift z = 0.228,  

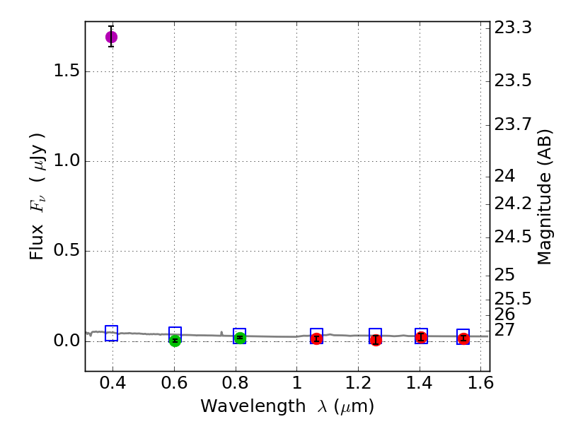
Object #6308   x,y = (3607, 1452)   RA, Dec = (06:03:20.448, 42:08:53.52) = (90.83520, 42.14820)   BPZ = 1.699 [0.958--2.222]   type = 11.00 (SB11_A_0_l)   stellarity = 0.97   chisq2 = 210.60   ODDS = 0.41   z_cluster = 0.228