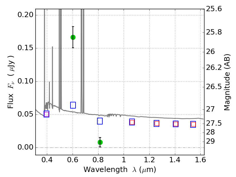
RXS0603+42-S IR detection object #624

Color images and BPZ results
Catalog: 624.cat
Black segments are analyzed here.   Roll mouse over color images to view segments.
Best viewed in a wide browser window (1200 pixels or more).   Download SED & P(z) plots to view larger versions.
In P(z) plots: Yellow lines mark the cluster redshift z = 0.228,  

Object #624   x,y = (2757, 4089)   RA, Dec = (06:03:25.032, 42:11:31.56) = (90.85430, 42.19210)   BPZ = 0.024 [0.013--2.996]   type = 11.00 (SB11_A_0_l)   stellarity = 0.68   chisq2 = 52.68   ODDS = 0.26   z_cluster = 0.228