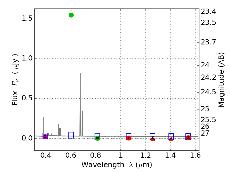
RXS0603+42-S IR detection object #6238

Color images and BPZ results
Catalog: 6238.cat
Black segments are analyzed here.   Roll mouse over color images to view segments.
Best viewed in a wide browser window (1200 pixels or more).   Download SED & P(z) plots to view larger versions.
In P(z) plots: Yellow lines mark the cluster redshift z = 0.228,  

Object #6238   x,y = (1889, 1496)   RA, Dec = (06:03:29.712, 42:08:56.04) = (90.87380, 42.14890)   BPZ = 0.027 [0.018--3.235]   type = 11.00 (SB11_A_0_l)   stellarity = 0.66   chisq2 = 229.10   ODDS = 0.15   z_cluster = 0.228