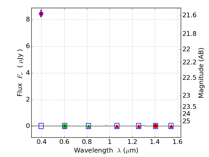
RXS0603+42-S IR detection object #6184

Color images and BPZ results
Catalog: 6184.cat
Black segments are analyzed here.   Roll mouse over color images to view segments.
Best viewed in a wide browser window (1200 pixels or more).   Download SED & P(z) plots to view larger versions.
In P(z) plots: Yellow lines mark the cluster redshift z = 0.228,  

Object #6184   x,y = (3640, 1515)   RA, Dec = (06:03:20.256, 42:08:57.12) = (90.83440, 42.14920)   BPZ = 1.599 [0.271--6.235]   type = 11.00 (SB11_A_0_l)   stellarity = 0.96   chisq2 = 286.80   ODDS = 0.08   z_cluster = 0.228