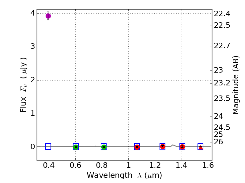
RXS0603+42-S IR detection object #6132

Color images and BPZ results
Catalog: 6132.cat
Black segments are analyzed here.   Roll mouse over color images to view segments.
Best viewed in a wide browser window (1200 pixels or more).   Download SED & P(z) plots to view larger versions.
In P(z) plots: Yellow lines mark the cluster redshift z = 0.228,  

Object #6132   x,y = (3615, 1541)   RA, Dec = (06:03:20.400, 42:08:58.92) = (90.83500, 42.14970)   BPZ = 1.694 [0.371--7.109]   type = 11.00 (SB11_A_0_l)   stellarity = 0.88   chisq2 = 272.50   ODDS = 0.13   z_cluster = 0.228