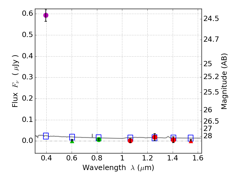
RXS0603+42-S IR detection object #6050

Color images and BPZ results
Catalog: 6050.cat
Black segments are analyzed here.   Roll mouse over color images to view segments.
Best viewed in a wide browser window (1200 pixels or more).   Download SED & P(z) plots to view larger versions.
In P(z) plots: Yellow lines mark the cluster redshift z = 0.228,  

Object #6050   x,y = (3623, 1582)   RA, Dec = (06:03:20.352, 42:09:01.08) = (90.83480, 42.15030)   BPZ = 1.730 [0.815--2.352]   type = 11.00 (SB11_A_0_l)   stellarity = 0.76   chisq2 = 100.40   ODDS = 0.37   z_cluster = 0.228