RXS0603+42-S IR detection object #6008

Color images and BPZ results
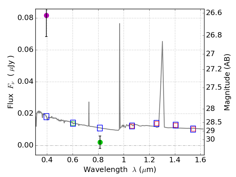
Catalog: 6008.cat
Black segments are analyzed here.   Roll mouse over color images to view segments.
Best viewed in a wide browser window (1200 pixels or more).   Download SED & P(z) plots to view larger versions.
In P(z) plots: Yellow lines mark the cluster redshift z = 0.228,  

Object #6008   x,y = (1441, 1604)   RA, Dec = (06:03:32.136, 42:09:02.52) = (90.88390, 42.15070)   BPZ = 1.596 [0.494--5.517]   type = 11.00 (SB11_A_0_l)   stellarity = 0.40   chisq2 = 27.15   ODDS = 0.16   z_cluster = 0.228