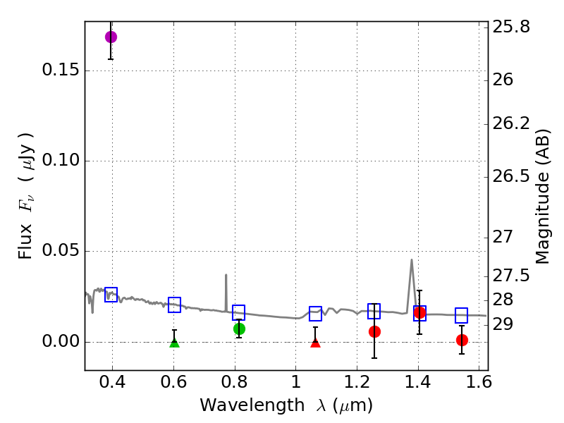
RXS0603+42-S IR detection object #5992

Color images and BPZ results
Catalog: 5992.cat
Black segments are analyzed here.   Roll mouse over color images to view segments.
Best viewed in a wide browser window (1200 pixels or more).   Download SED & P(z) plots to view larger versions.
In P(z) plots: Yellow lines mark the cluster redshift z = 0.228,  

Object #5992   x,y = (2974, 1613)   RA, Dec = (06:03:23.856, 42:09:03.24) = (90.84940, 42.15090)   BPZ = 1.762 [1.020--2.233]   type = 11.00 (SB11_A_0_l)   stellarity = 0.78   chisq2 = 35.39   ODDS = 0.44   z_cluster = 0.228