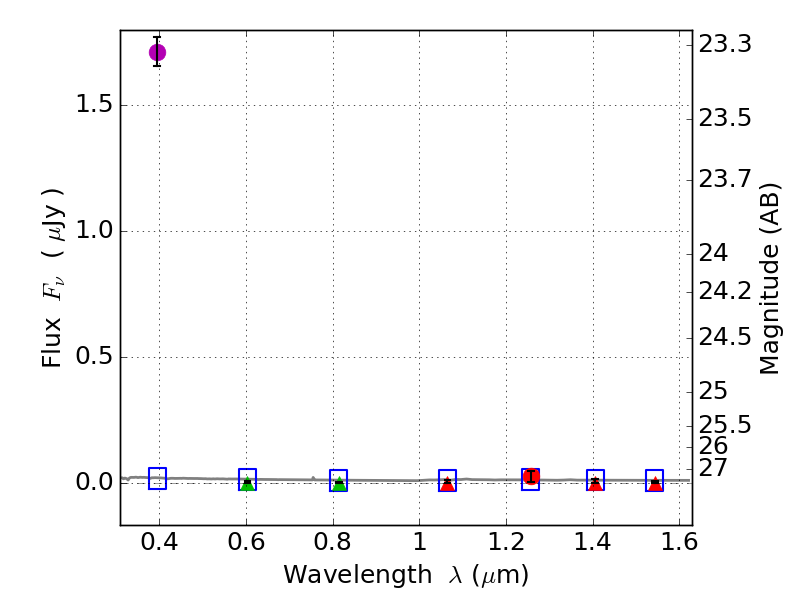
RXS0603+42-S IR detection object #5960

Color images and BPZ results
Catalog: 5960.cat
Black segments are analyzed here.   Roll mouse over color images to view segments.
Best viewed in a wide browser window (1200 pixels or more).   Download SED & P(z) plots to view larger versions.
In P(z) plots: Yellow lines mark the cluster redshift z = 0.228,  

Object #5960   x,y = (3677, 1627)   RA, Dec = (06:03:20.064, 42:09:03.96) = (90.83360, 42.15110)   BPZ = 1.697 [0.442--3.507]   type = 11.00 (SB11_A_0_l)   stellarity = 0.66   chisq2 = 216.60   ODDS = 0.23   z_cluster = 0.228