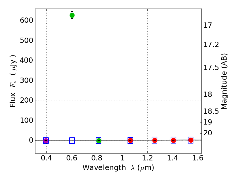
RXS0603+42-S IR detection object #5847

Color images and BPZ results
Catalog: 5847.cat
Black segments are analyzed here.   Roll mouse over color images to view segments.
Best viewed in a wide browser window (1200 pixels or more).   Download SED & P(z) plots to view larger versions.
In P(z) plots: Yellow lines mark the cluster redshift z = 0.228,  

Object #5847   x,y = (1680, 2089)   RA, Dec = (06:03:30.840, 42:09:31.68) = (90.87850, 42.15880)   BPZ = 7.272 [1.469--7.470]   type = 7.50 (SB1_B10 - Scd_B10)   stellarity = 1.00   chisq2 = 292.30   ODDS = 0.95   z_cluster = 0.228