RXS0603+42-S IR detection object #5820

Color images and BPZ results
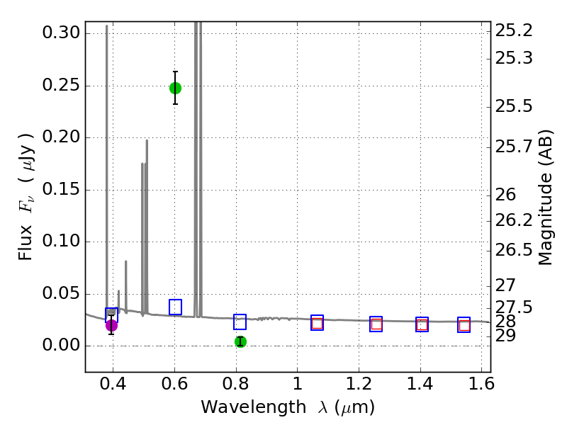
Catalog: 5820.cat
Black segments are analyzed here.   Roll mouse over color images to view segments.
Best viewed in a wide browser window (1200 pixels or more).   Download SED & P(z) plots to view larger versions.
In P(z) plots: Yellow lines mark the cluster redshift z = 0.228,  

Object #5820   x,y = (1318, 1707)   RA, Dec = (06:03:32.784, 42:09:08.64) = (90.88660, 42.15240)   BPZ = 0.023 [0.011--2.893]   type = 11.00 (SB11_A_0_l)   stellarity = 0.54   chisq2 = 193.20   ODDS = 0.49   z_cluster = 0.228