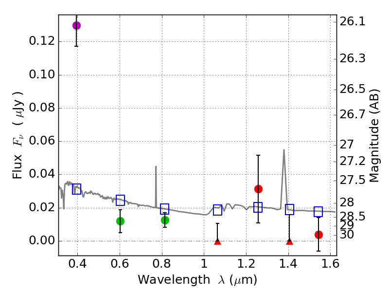
RXS0603+42-S IR detection object #5319

Color images and BPZ results
Catalog: 5319.cat
Black segments are analyzed here.   Roll mouse over color images to view segments.
Best viewed in a wide browser window (1200 pixels or more).   Download SED & P(z) plots to view larger versions.
In P(z) plots: Yellow lines mark the cluster redshift z = 0.228,  

Object #5319   x,y = (2941, 1933)   RA, Dec = (06:03:24.048, 42:09:22.32) = (90.85020, 42.15620)   BPZ = 1.762 [1.069--2.254]   type = 11.00 (SB11_A_0_l)   stellarity = 0.50   chisq2 = 17.79   ODDS = 0.43   z_cluster = 0.228