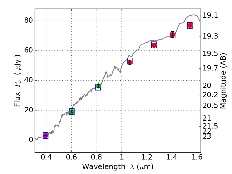
RXS0603+42-S IR detection object #5289

Color images and BPZ results
Catalog: 5289.cat
Black segments are analyzed here.   Roll mouse over color images to view segments.
Best viewed in a wide browser window (1200 pixels or more).   Download SED & P(z) plots to view larger versions.
In P(z) plots: Yellow lines mark the cluster redshift z = 0.228,  

Object #5289   x,y = (2624, 1923)   RA, Dec = (06:03:25.752, 42:09:21.60) = (90.85730, 42.15600)   BPZ = 0.164 [0.108--0.224]   type = 4.50 (ES0_B10 - Ell4_A_0)   stellarity = 0.03   chisq2 = 0.01   ODDS = 0.89   z_cluster = 0.228