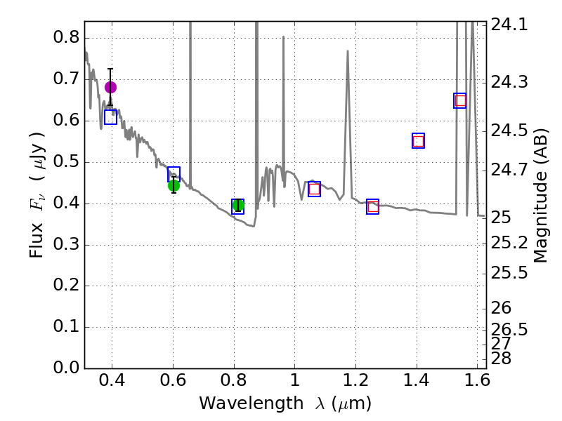
RXS0603+42-S IR detection object #4952

Color images and BPZ results
Catalog: 4952.cat
Black segments are analyzed here.   Roll mouse over color images to view segments.
Best viewed in a wide browser window (1200 pixels or more).   Download SED & P(z) plots to view larger versions.
In P(z) plots: Yellow lines mark the cluster redshift z = 0.228,  

Object #4952   x,y = (3837, 2078)   RA, Dec = (06:03:19.200, 42:09:30.96) = (90.83000, 42.15860)   BPZ = 1.351 [1.208--2.010]   type = 11.00 (SB11_A_0_l)   stellarity = 0.82   chisq2 = 1.66   ODDS = 0.35   z_cluster = 0.228