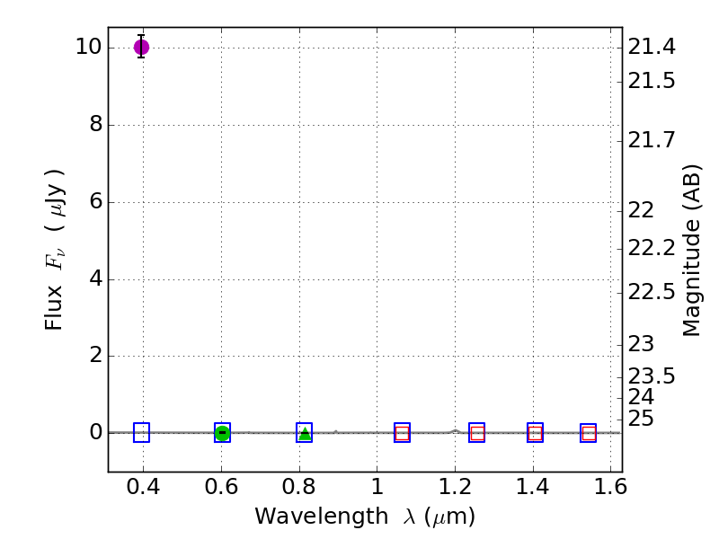
RXS0603+42-S IR detection object #4873

Color images and BPZ results
Catalog: 4873.cat
Black segments are analyzed here.   Roll mouse over color images to view segments.
Best viewed in a wide browser window (1200 pixels or more).   Download SED & P(z) plots to view larger versions.
In P(z) plots: Yellow lines mark the cluster redshift z = 0.228,  

Object #4873   x,y = (3841, 2147)   RA, Dec = (06:03:19.176, 42:09:35.28) = (90.82990, 42.15980)   BPZ = 1.401 [0.296--7.242]   type = 11.00 (SB11_A_0_l)   stellarity = 0.97   chisq2 = 1147.00   ODDS = 0.07   z_cluster = 0.228