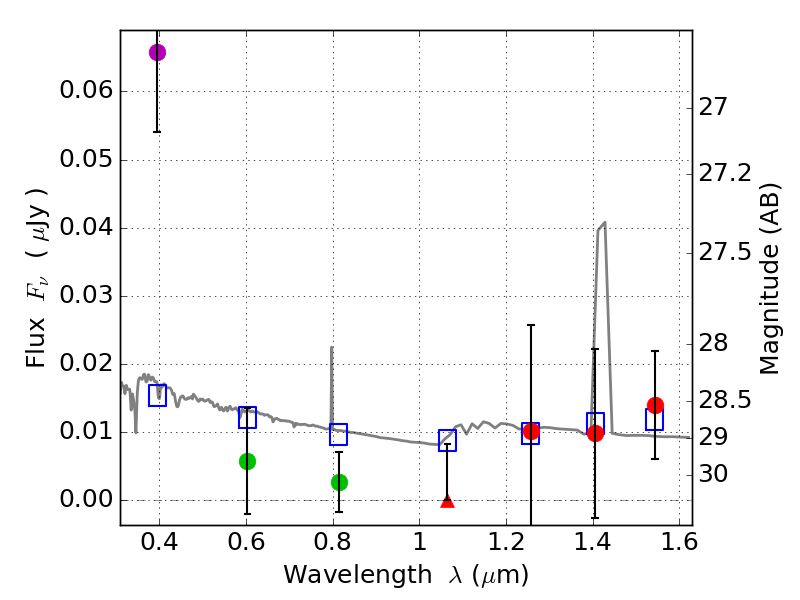
RXS0603+42-S IR detection object #4726

Color images and BPZ results
Catalog: 4726.cat
Black segments are analyzed here.   Roll mouse over color images to view segments.
Best viewed in a wide browser window (1200 pixels or more).   Download SED & P(z) plots to view larger versions.
In P(z) plots: Yellow lines mark the cluster redshift z = 0.228,  

Object #4726   x,y = (1746, 2227)   RA, Dec = (06:03:30.480, 42:09:39.96) = (90.87700, 42.16110)   BPZ = 1.855 [0.534--4.171]   type = 11.00 (SB11_A_0_l)   stellarity = 0.35   chisq2 = 5.63   ODDS = 0.16   z_cluster = 0.228