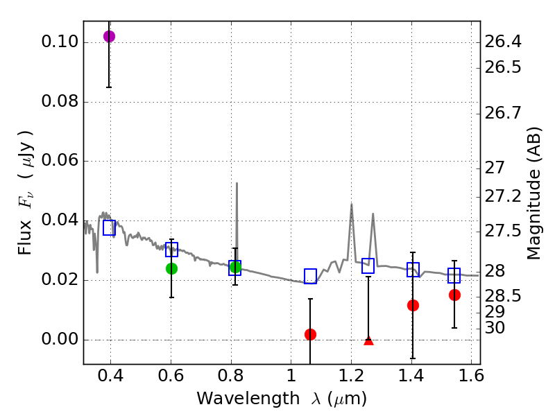
RXS0603+42-S IR detection object #4567

Color images and BPZ results
Catalog: 4567.cat
Black segments are analyzed here.   Roll mouse over color images to view segments.
Best viewed in a wide browser window (1200 pixels or more).   Download SED & P(z) plots to view larger versions.
In P(z) plots: Yellow lines mark the cluster redshift z = 0.228,  

Object #4567   x,y = (3597, 2316)   RA, Dec = (06:03:20.496, 42:09:45.36) = (90.83540, 42.16260)   BPZ = 1.928 [0.332--2.643]   type = 11.00 (SB11_A_0_l)   stellarity = 0.05   chisq2 = 4.62   ODDS = 0.22   z_cluster = 0.228