RXS0603+42-S IR detection object #4521

Color images and BPZ results
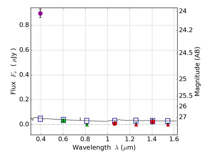
Catalog: 4521.cat
Black segments are analyzed here.   Roll mouse over color images to view segments.
Best viewed in a wide browser window (1200 pixels or more).   Download SED & P(z) plots to view larger versions.
In P(z) plots: Yellow lines mark the cluster redshift z = 0.228,  

Object #4521   x,y = (3522, 2338)   RA, Dec = (06:03:20.904, 42:09:46.44) = (90.83710, 42.16290)   BPZ = 1.699 [1.482--2.065]   type = 11.00 (SB11_A_0_l)   stellarity = 0.88   chisq2 = 169.70   ODDS = 0.63   z_cluster = 0.228