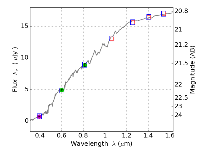
RXS0603+42-S IR detection object #4507

Color images and BPZ results
Catalog: 4507.cat
Black segments are analyzed here.   Roll mouse over color images to view segments.
Best viewed in a wide browser window (1200 pixels or more).   Download SED & P(z) plots to view larger versions.
In P(z) plots: Yellow lines mark the cluster redshift z = 0.228,  

Object #4507   x,y = (1245, 2515)   RA, Dec = (06:03:33.192, 42:09:57.24) = (90.88830, 42.16590)   BPZ = 0.198 [0.114--0.248]   type = 3.10 (Ell5_A_0 - Ell4_A_0)   stellarity = 0.05   chisq2 = 0.01   ODDS = 0.82   z_cluster = 0.228