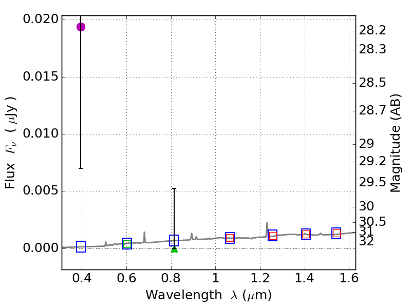
RXS0603+42-S IR detection object #4364

Color images and BPZ results
Catalog: 4364.cat
Black segments are analyzed here.   Roll mouse over color images to view segments.
Best viewed in a wide browser window (1200 pixels or more).   Download SED & P(z) plots to view larger versions.
In P(z) plots: Yellow lines mark the cluster redshift z = 0.228,  

Object #4364   x,y = (1151, 2408)   RA, Dec = (06:03:33.696, 42:09:50.76) = (90.89040, 42.16410)   BPZ = 0.365 [0.049--0.864]   type = 7.00 (Scd_B10)   stellarity = 0.75   chisq2 = 2.43   ODDS = 0.19   z_cluster = 0.228