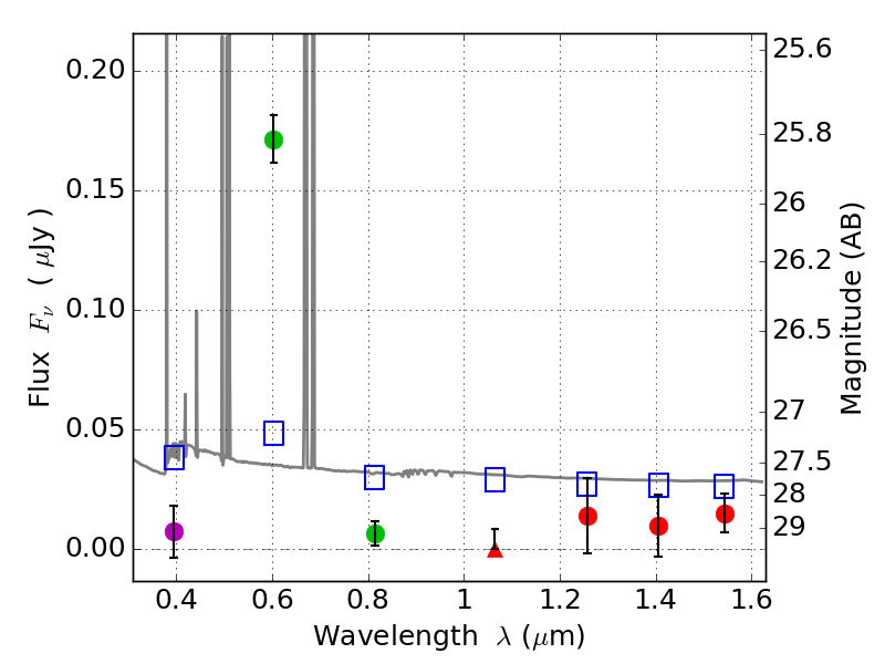
RXS0603+42-S IR detection object #4302

Color images and BPZ results
Catalog: 4302.cat
Black segments are analyzed here.   Roll mouse over color images to view segments.
Best viewed in a wide browser window (1200 pixels or more).   Download SED & P(z) plots to view larger versions.
In P(z) plots: Yellow lines mark the cluster redshift z = 0.228,  

Object #4302   x,y = (2808, 2431)   RA, Dec = (06:03:24.768, 42:09:52.20) = (90.85320, 42.16450)   BPZ = 0.022 [0.010--0.051]   type = 11.00 (SB11_A_0_l)   stellarity = 0.73   chisq2 = 42.85   ODDS = 0.99   z_cluster = 0.228