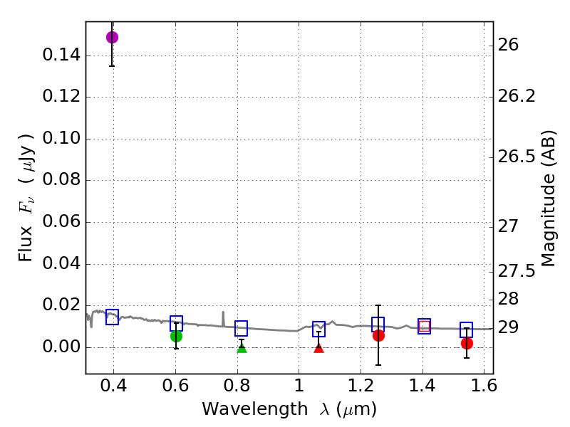
RXS0603+42-S IR detection object #4289

Color images and BPZ results
Catalog: 4289.cat
Black segments are analyzed here.   Roll mouse over color images to view segments.
Best viewed in a wide browser window (1200 pixels or more).   Download SED & P(z) plots to view larger versions.
In P(z) plots: Yellow lines mark the cluster redshift z = 0.228,  

Object #4289   x,y = (3180, 2435)   RA, Dec = (06:03:22.752, 42:09:52.56) = (90.84480, 42.16460)   BPZ = 1.696 [0.570--3.160]   type = 11.00 (SB11_A_0_l)   stellarity = 0.58   chisq2 = 32.48   ODDS = 0.24   z_cluster = 0.228