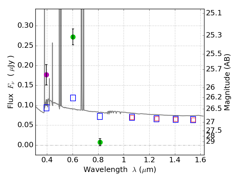
RXS0603+42-S IR detection object #4250

Color images and BPZ results
Catalog: 4250.cat
Black segments are analyzed here.   Roll mouse over color images to view segments.
Best viewed in a wide browser window (1200 pixels or more).   Download SED & P(z) plots to view larger versions.
In P(z) plots: Yellow lines mark the cluster redshift z = 0.228,  

Object #4250   x,y = (3882, 2418)   RA, Dec = (06:03:18.960, 42:09:51.48) = (90.82900, 42.16430)   BPZ = 0.020 [0.010--1.894]   type = 11.00 (SB11_A_0_l)   stellarity = 0.35   chisq2 = 90.69   ODDS = 0.87   z_cluster = 0.228