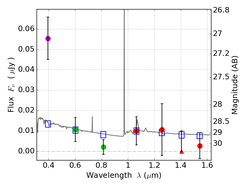
RXS0603+42-S IR detection object #4228

Color images and BPZ results
Catalog: 4228.cat
Black segments are analyzed here.   Roll mouse over color images to view segments.
Best viewed in a wide browser window (1200 pixels or more).   Download SED & P(z) plots to view larger versions.
In P(z) plots: Yellow lines mark the cluster redshift z = 0.228,  

Object #4228   x,y = (2714, 2460)   RA, Dec = (06:03:25.272, 42:09:54.00) = (90.85530, 42.16500)   BPZ = 1.613 [0.410--3.469]   type = 11.00 (SB11_A_0_l)   stellarity = 0.36   chisq2 = 5.04   ODDS = 0.18   z_cluster = 0.228