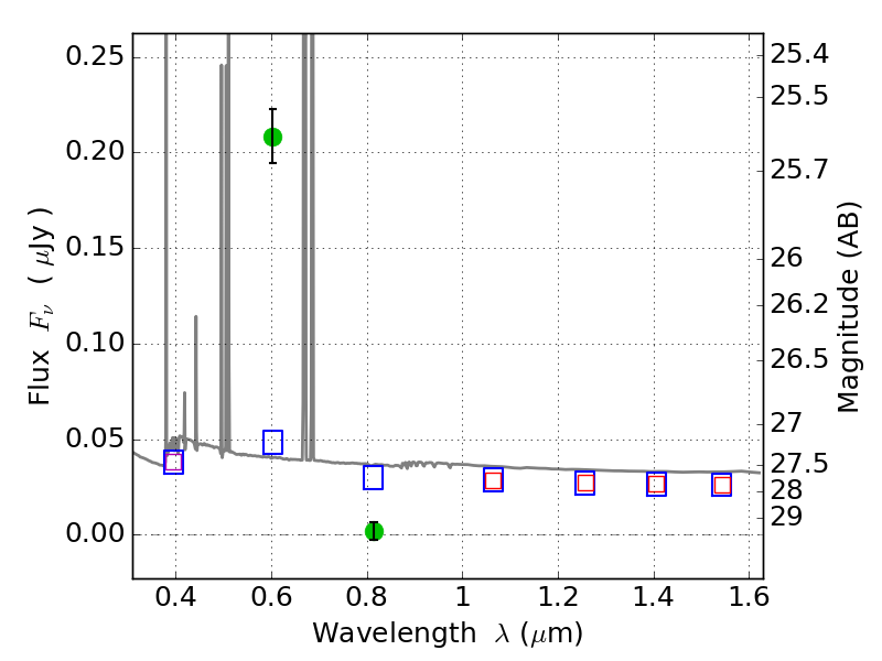
RXS0603+42-S IR detection object #419

Color images and BPZ results
Catalog: 419.cat
Black segments are analyzed here.   Roll mouse over color images to view segments.
Best viewed in a wide browser window (1200 pixels or more).   Download SED & P(z) plots to view larger versions.
In P(z) plots: Yellow lines mark the cluster redshift z = 0.228,  

Object #419   x,y = (2668, 4166)   RA, Dec = (06:03:25.512, 42:11:36.24) = (90.85630, 42.19340)   BPZ = 0.022 [0.010--2.768]   type = 11.00 (SB11_A_0_l)   stellarity = 0.98   chisq2 = 145.60   ODDS = 0.74   z_cluster = 0.228